Không có tiêu đề

 

Question:



Answer:


( 2)3
(ks):
}어2x2-0扑}1) xu.llHx/gS
(5)3
16 56 0132y 3
12 5
6 o
C)
oelos
7539. 22 369
same the primay Condi tion when
mahp!もen nn
ist be, neglected
N m
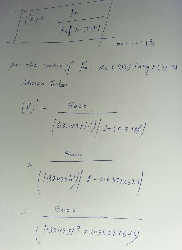
put the vahie fm Ks ined) as
35
y20, 2 856は2(rad)s)
つ
420. 28 ds
owo
Vibotin.thee, by umyぶ1low/n7 Q9h
Fo
ohin massis to be negleckd
-0 o0
4.145メにナナつ
ニ
)
Therefir,
Thaintlh.de 익steay-shtevibrtí。?)
Noo,
76, sx)。
-x (ら o.sx o. I.
(9- 1)
= 1.947541284 X10 key
Me 1949-591
Assue the SecendaryC
mine
m02357 xMs
ks
g. 3249メ1。
チ5+1159 . 506573
V(53y, 506573
2y 구 3 5.UF 64
424a
owoh

Đăng nhận xét

Mới hơn Cũ hơn