Không có tiêu đề

 

Question:



Answer:


Sali-
Given
pole
Α)
a = arca och pipe carrying fluid of pressure P,
Az = area of pipe carrying Pleid of pressure R
A = ara oc( novom Ca 02) + suve
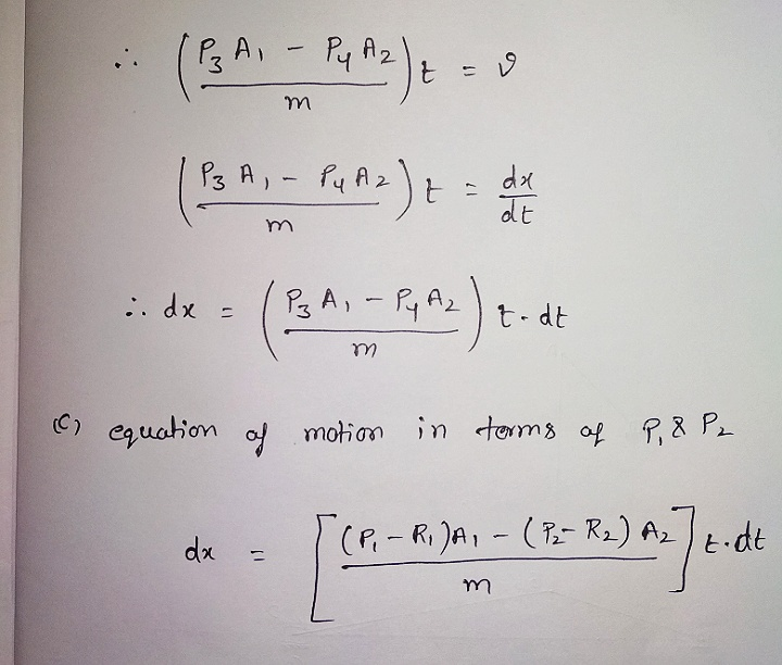
3.de = (B, A, F, 2) t.dt
m
o
equation och
motion
in terms of P,Q Pz
TCP-R.JA, - (P= Rz) Az Jr.de
M

Đăng nhận xét

Mới hơn Cũ hơn